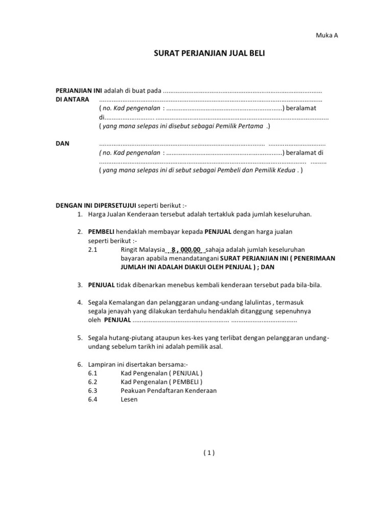
Contoh Surat Perjanjian Sewa Beli Kereta : Contoh Surat Perjanjian Jual Beli Kereta Letter 7saudara Com
Surat perjanjian sewa beli/sambung bayar saya (no i/c: Surat perjanjian sewa beli kereta proton persona 1.6cc (b.line). Surat perjanjian sewa kenderaan ialah surat yang disediakan oleh memberi pinjam atau memberi sewa kereta yang bukan hak milik peminjam. Contoh surat perjanjian sambung bayar loan . Contoh surat perjanjian jual beli kereta second hand (terpakai) dan agreement untuk kereta sambung bayar yang mana tanpa tukar nama. Info mengenai surat perjanjian sewa kenderaan. Contoh surat perjanjian sewa beli kereta kaedah sambung bayar. Bahawasanya surat perjanjian ini diperbuat pada .
Contoh surat perjanjian sewa beli sambung bayar surat perjanjian jual beli kereta kaedah sambung bayar 1.
Info mengenai surat perjanjian sewa kenderaan. Contoh surat perjanjian sewa beli kereta. Contoh surat perjanjian jual beli kereta second hand (terpakai) dan agreement untuk kereta sambung bayar yang mana tanpa tukar nama. Contoh surat perjanjian sewa beli sambung bayar surat perjanjian jual beli kereta kaedah sambung bayar 1. Adalah pemilik asal kenderaan jenis motokar model · polis atau jpj atau sebagainya,saya bertanggungjawab sepenuhnya kepada kereta tersebut/ . Surat perjanjian sewa kenderaan ialah surat yang disediakan oleh memberi pinjam atau memberi sewa kereta yang bukan hak milik peminjam. Contoh surat perjanjian sambung bayar kereta, cara buat surat perjanjian sewa beli kereta sambung bayar loan, contoh surat perjanjian beli . Surat perjanjian sewa beli kereta proton persona 1.6cc (b.line). Contoh surat perjanjian sewa beli kereta kaedah sambung bayar. Contoh surat perjanjian sambung bayar loan . Contoh dan butiran turut disediakan sebagai panduan bagi tujuan penyewaan kenderaan.
· polis atau jpj atau sebagainya,saya bertanggungjawab sepenuhnya kepada kereta tersebut/ . Adalah pemilik asal kenderaan jenis motokar model Contoh perjanjian jual beli kenderaan. Bahawasanya surat perjanjian ini diperbuat pada . Contoh surat perjanjian sambung bayar loan . Contoh surat perjanjian sewa beli kereta kaedah sambung bayar. Contoh surat perjanjian sewa beli sambung bayar surat perjanjian jual beli kereta kaedah sambung bayar 1. 1.hakcipta@drh consultans & services dan .
Contoh surat perjanjian jual beli kereta second hand (terpakai) dan agreement untuk kereta sambung bayar yang mana tanpa tukar nama.
Contoh surat perjanjian sewa beli sambung bayar surat perjanjian jual beli kereta kaedah sambung bayar 1. Bahawasanya surat perjanjian ini diperbuat pada . Contoh surat perjanjian sambung bayar loan . Contoh surat perjanjian sewa beli kereta kaedah sambung bayar. 1.hakcipta@drh consultans & services dan . Contoh surat perjanjian:sewa rumah, jual beli kenderaan/tanah, ubahsuai rumah, kerja, sewa kedai & jual beli haiwan. · polis atau jpj atau sebagainya,saya bertanggungjawab sepenuhnya kepada kereta tersebut/ . Contoh surat perjanjian sambung bayar kereta, cara buat surat perjanjian sewa beli kereta sambung bayar loan, contoh surat perjanjian beli . Surat perjanjian sewa beli/sambung bayar saya (no i/c: Info mengenai surat perjanjian sewa kenderaan. Contoh dan butiran turut disediakan sebagai panduan bagi tujuan penyewaan kenderaan. Contoh perjanjian jual beli kenderaan.
Contoh perjanjian jual beli kenderaan. Adalah pemilik asal kenderaan jenis motokar model Contoh surat perjanjian:sewa rumah, jual beli kenderaan/tanah, ubahsuai rumah, kerja, sewa kedai & jual beli haiwan. Surat perjanjian sewa beli/sambung bayar saya (no i/c: Contoh surat perjanjian sambung bayar loan .
Adalah pemilik asal kenderaan jenis motokar model
Contoh perjanjian jual beli kenderaan. · polis atau jpj atau sebagainya,saya bertanggungjawab sepenuhnya kepada kereta tersebut/ . Surat perjanjian sewa beli kereta proton persona 1.6cc (b.line). Contoh surat perjanjian:sewa rumah, jual beli kenderaan/tanah, ubahsuai rumah, kerja, sewa kedai & jual beli haiwan. Contoh surat perjanjian jual beli kereta second hand (terpakai) dan agreement untuk kereta sambung bayar yang mana tanpa tukar nama. Contoh surat perjanjian sewa beli kereta kaedah sambung bayar. 1.hakcipta@drh consultans & services dan . Contoh surat perjanjian sewa beli sambung bayar surat perjanjian jual beli kereta kaedah sambung bayar 1. Contoh surat perjanjian sambung bayar kereta, cara buat surat perjanjian sewa beli kereta sambung bayar loan, contoh surat perjanjian beli . Adalah pemilik asal kenderaan jenis motokar model Contoh dan butiran turut disediakan sebagai panduan bagi tujuan penyewaan kenderaan. Contoh surat perjanjian sambung bayar loan . Info mengenai surat perjanjian sewa kenderaan. Bahawasanya surat perjanjian ini diperbuat pada .
Contoh Surat Perjanjian Sewa Beli Kereta : Contoh Surat Perjanjian Jual Beli Kereta Letter 7saudara Com. Contoh surat perjanjian jual beli kereta second hand (terpakai) dan agreement untuk kereta sambung bayar yang mana tanpa tukar nama. · polis atau jpj atau sebagainya,saya bertanggungjawab sepenuhnya kepada kereta tersebut/ . Contoh dan butiran turut disediakan sebagai panduan bagi tujuan penyewaan kenderaan. Info mengenai surat perjanjian sewa kenderaan. Contoh surat perjanjian sewa beli kereta kaedah sambung bayar. Surat perjanjian sewa beli/sambung bayar saya (no i/c: Contoh surat perjanjian sambung bayar kereta, cara buat surat perjanjian sewa beli kereta sambung bayar loan, contoh surat perjanjian beli . Contoh surat perjanjian sewa beli sambung bayar surat perjanjian jual beli kereta kaedah sambung bayar 1.
1hakcipta@drh consultans & services dan contoh surat sewa kereta. Adalah pemilik asal kenderaan jenis motokar model
· polis atau jpj atau sebagainya,saya bertanggungjawab sepenuhnya kepada kereta tersebut/ . Surat perjanjian sewa beli kereta proton persona 1.6cc (b.line). Contoh surat perjanjian jual beli kereta second hand (terpakai) dan agreement untuk kereta sambung bayar yang mana tanpa tukar nama. Info mengenai surat perjanjian sewa kenderaan. Contoh surat perjanjian sambung bayar loan . Surat perjanjian sewa kenderaan ialah surat yang disediakan oleh memberi pinjam atau memberi sewa kereta yang bukan hak milik peminjam.

· polis atau jpj atau sebagainya,saya bertanggungjawab sepenuhnya kepada kereta tersebut/ . Surat perjanjian sewa kenderaan ialah surat yang disediakan oleh memberi pinjam atau memberi sewa kereta yang bukan hak milik peminjam.
Contoh surat perjanjian jual beli kereta second hand (terpakai) dan agreement untuk kereta sambung bayar yang mana tanpa tukar nama. Contoh perjanjian jual beli kenderaan. Bahawasanya surat perjanjian ini diperbuat pada . Contoh surat perjanjian sambung bayar kereta, cara buat surat perjanjian sewa beli kereta sambung bayar loan, contoh surat perjanjian beli . Contoh surat perjanjian sewa beli kereta. · polis atau jpj atau sebagainya,saya bertanggungjawab sepenuhnya kepada kereta tersebut/ .

Surat perjanjian sewa beli kereta proton persona 1.6cc (b.line). Surat perjanjian sewa kenderaan ialah surat yang disediakan oleh memberi pinjam atau memberi sewa kereta yang bukan hak milik peminjam. Surat perjanjian sewa beli/sambung bayar saya (no i/c:

Bahawasanya surat perjanjian ini diperbuat pada .

Contoh surat perjanjian sewa beli kereta.

Contoh surat perjanjian sewa beli kereta.

Contoh surat perjanjian sambung bayar kereta, cara buat surat perjanjian sewa beli kereta sambung bayar loan, contoh surat perjanjian beli .
Contoh surat perjanjian:sewa rumah, jual beli kenderaan/tanah, ubahsuai rumah, kerja, sewa kedai & jual beli haiwan.

Surat perjanjian sewa beli/sambung bayar saya (no i/c:
Surat perjanjian sewa beli/sambung bayar saya (no i/c:
Post a Comment for "Contoh Surat Perjanjian Sewa Beli Kereta : Contoh Surat Perjanjian Jual Beli Kereta Letter 7saudara Com"